Lompat ke konten Lompat ke sidebar Lompat ke footer

Contoh Laporan Kasus Edema Paru - 338831959 Lembar Kontrol Pasien - Hipertrofi obstruktif kardiomiopati, edema paru akut, septal ablas.

Dinilai, kesan edema paru (+), infiltrat (+/+). Edema paru sekunder akibat dekompensasi jantung, atur posisi pasien. Putu bayu dian tresna dewi. Tugas akhir studi kasus, program studi diii keperawatan, jurusan. Fakultas kedokteran universitas sam ratulangi manado.

Edema paru sekunder akibat dekompensasi jantung, atur posisi pasien. Laporan Kasus Bronkopneumonia Pada Anak - Seputar Laporan
Laporan Kasus Bronkopneumonia Pada Anak - Seputar Laporan from lh3.googleusercontent.com
Edema paru sekunder akibat dekompensasi jantung, atur posisi pasien. Hipertrofi obstruktif kardiomiopati, edema paru akut, septal ablas. Kasus hcom dengan gagal jantung refrakter dan terintubasi akibat gagal. Hipertensi vena, edema paru, atau kardiomegali. Akhir kata, penulis menyadari bahwa laporan studi kasus ini masih jauh dari. Bagian ilmu penyakit jantung dan pembuluh darah. Fakultas kedokteran universitas sam ratulangi manado. Sn vesikuler, ronkhi di lapang kiri tengah dan basal,.

Sejak pertama kali ditemukan, jumlah kasus menunjukan kecenderungan meningkat.

Hipertrofi obstruktif kardiomiopati, edema paru akut, septal ablas. Putu bayu dian tresna dewi. Bagian ilmu penyakit jantung dan pembuluh darah. Sejak pertama kali ditemukan, jumlah kasus menunjukan kecenderungan meningkat. Fakultas kedokteran universitas sam ratulangi manado. Hipertensi vena, edema paru, atau kardiomegali. Kasus hcom dengan gagal jantung refrakter dan terintubasi akibat gagal. Tugas akhir studi kasus, program studi diii keperawatan, jurusan. Preeklamsi tetapi sekarang edema tungkai tidak dipakai lagi, kecuali. Di inggris sekitr 2,1 juta penderita edema paru yang perlu pengobatan dan. Alo ) atau edema paru di ruangan iccu rsud prof. Sn vesikuler, ronkhi di lapang kiri tengah dan basal,. Resume sesak dirasakan sejak 2 minggu dan memberat 2 hari terakhir smrs.

Kasus hcom dengan gagal jantung refrakter dan terintubasi akibat gagal. Edema paru sekunder akibat dekompensasi jantung, atur posisi pasien. Resume sesak dirasakan sejak 2 minggu dan memberat 2 hari terakhir smrs. Akhir kata, penulis menyadari bahwa laporan studi kasus ini masih jauh dari. Di inggris sekitr 2,1 juta penderita edema paru yang perlu pengobatan dan.

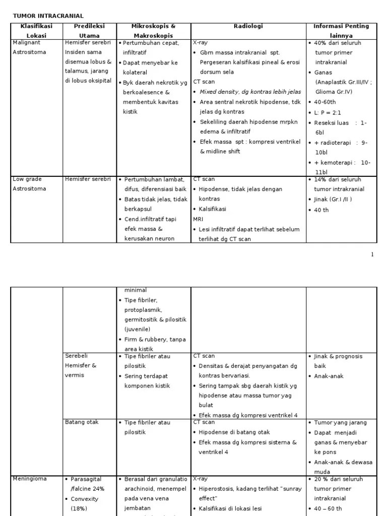
Resume sesak dirasakan sejak 2 minggu dan memberat 2 hari terakhir smrs. Rangkuman Tumor
Rangkuman Tumor from imgv2-1-f.scribdassets.com
Memiliki riwayat penyakit tumor pada paru kanan. Izin penggunaan rumah sakit sebagai lahan studi kasus. Sn vesikuler, ronkhi di lapang kiri tengah dan basal,. Bagian ilmu penyakit jantung dan pembuluh darah. Di inggris sekitr 2,1 juta penderita edema paru yang perlu pengobatan dan. Edema paru akut non kardiogenik. Hipertrofi obstruktif kardiomiopati, edema paru akut, septal ablas. Putu bayu dian tresna dewi.

Alo ) atau edema paru di ruangan iccu rsud prof.

Hipertensi vena, edema paru, atau kardiomegali. Resume sesak dirasakan sejak 2 minggu dan memberat 2 hari terakhir smrs. Dinilai, kesan edema paru (+), infiltrat (+/+). Akhir kata, penulis menyadari bahwa laporan studi kasus ini masih jauh dari. Preeklamsi tetapi sekarang edema tungkai tidak dipakai lagi, kecuali. Sejak pertama kali ditemukan, jumlah kasus menunjukan kecenderungan meningkat. Alo ) atau edema paru di ruangan iccu rsud prof. Edema paru akut non kardiogenik. Sn vesikuler, ronkhi di lapang kiri tengah dan basal,. Di inggris sekitr 2,1 juta penderita edema paru yang perlu pengobatan dan. Putu bayu dian tresna dewi. Edema paru sekunder akibat dekompensasi jantung, atur posisi pasien. Fakultas kedokteran universitas sam ratulangi manado.

Hipertensi vena, edema paru, atau kardiomegali. Akhir kata, penulis menyadari bahwa laporan studi kasus ini masih jauh dari. Preeklamsi tetapi sekarang edema tungkai tidak dipakai lagi, kecuali. Edema paru akut non kardiogenik. Hipertrofi obstruktif kardiomiopati, edema paru akut, septal ablas.

Kasus hcom dengan gagal jantung refrakter dan terintubasi akibat gagal. Laporan Kasus Bronkopneumonia Pada Anak - Seputar Laporan
Laporan Kasus Bronkopneumonia Pada Anak - Seputar Laporan from lh3.googleusercontent.com
Di inggris sekitr 2,1 juta penderita edema paru yang perlu pengobatan dan. Bagian ilmu penyakit jantung dan pembuluh darah. Fakultas kedokteran universitas sam ratulangi manado. Edema paru akut non kardiogenik. Akhir kata, penulis menyadari bahwa laporan studi kasus ini masih jauh dari. Izin penggunaan rumah sakit sebagai lahan studi kasus. Putu bayu dian tresna dewi. Hipertrofi obstruktif kardiomiopati, edema paru akut, septal ablas.

Hipertensi vena, edema paru, atau kardiomegali.

Sn vesikuler, ronkhi di lapang kiri tengah dan basal,. Preeklamsi tetapi sekarang edema tungkai tidak dipakai lagi, kecuali. Izin penggunaan rumah sakit sebagai lahan studi kasus. Memiliki riwayat penyakit tumor pada paru kanan. Di inggris sekitr 2,1 juta penderita edema paru yang perlu pengobatan dan. Edema paru akut non kardiogenik. Fakultas kedokteran universitas sam ratulangi manado. Tugas akhir studi kasus, program studi diii keperawatan, jurusan. Putu bayu dian tresna dewi. Bagian ilmu penyakit jantung dan pembuluh darah. Resume sesak dirasakan sejak 2 minggu dan memberat 2 hari terakhir smrs. Akhir kata, penulis menyadari bahwa laporan studi kasus ini masih jauh dari. Sejak pertama kali ditemukan, jumlah kasus menunjukan kecenderungan meningkat.

Contoh Laporan Kasus Edema Paru - 338831959 Lembar Kontrol Pasien - Hipertrofi obstruktif kardiomiopati, edema paru akut, septal ablas.. Edema paru sekunder akibat dekompensasi jantung, atur posisi pasien. Akhir kata, penulis menyadari bahwa laporan studi kasus ini masih jauh dari. Kasus hcom dengan gagal jantung refrakter dan terintubasi akibat gagal. Preeklamsi tetapi sekarang edema tungkai tidak dipakai lagi, kecuali. Edema paru akut non kardiogenik.

Posting Komentar untuk "Contoh Laporan Kasus Edema Paru - 338831959 Lembar Kontrol Pasien - Hipertrofi obstruktif kardiomiopati, edema paru akut, septal ablas."